Company Logo

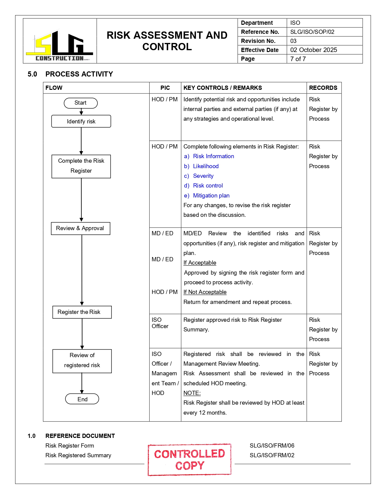
SLG-ISO-SOP-02 Process of Risk Assessment and Control

SLG Construction Sdn Bhd

SLG-PRO-SOP Page 1 SLG-PRO-SOP Page 2 SLG-PRO-SOP Page 3 SLG-PRO-SOP Page 4 SLG-PRO-SOP Page 5 SLG-PRO-SOP Page 6 SLG-PRO-SOP Page 7