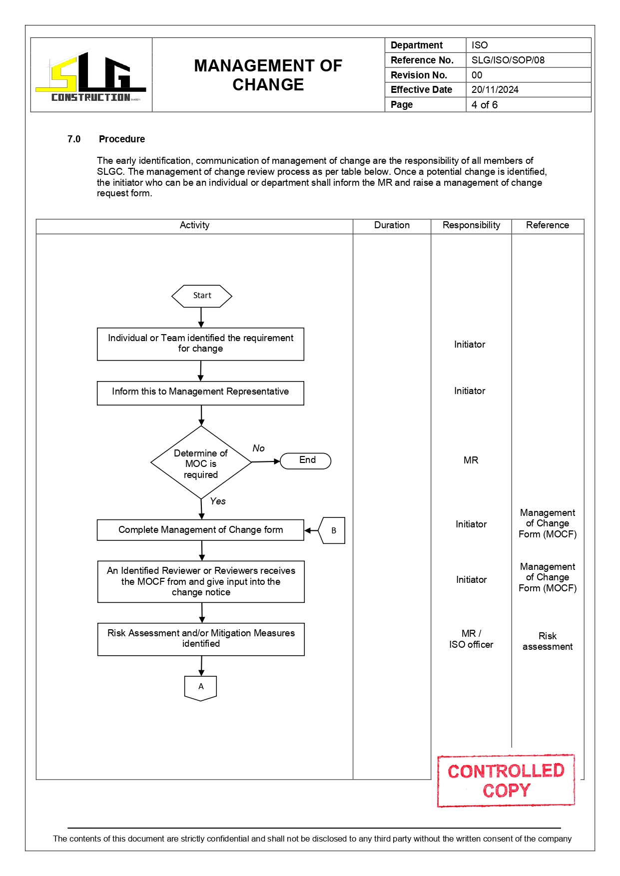
SLG-ISO-SOP-08 Process of Management of Change
SLG Construction Sdn Bhd
← Back to TQMS SOPs
← Back to TQMS Department
← Back to Dashboard